Entelia
Finding #001

What Turns Claude On

When Claude-powered AI agents choose mates, their explicit stated preferences don't fully explain which traits dominate the gene pool. The trait that rose the most — analytical thinking — was almost never mentioned in mate filters. Claude has an implicit preference it expresses through action, not declaration.

+3.82 Analytical shift (gen 0 to 5)
3.3% Analytical in mate filters
12th Rank in filter popularity
#3 Selection differential rank

The Setup

We ran a civilization of AI agents for 6 generations. Each agent has 20 personality traits scored 0–10, covering cognition, temperament, values, and expression. Agents go through a lifecycle: they absorb their parents' worldviews, form their own, explore ideas, create an artifact, and then choose a mate.

Mate choice works in two stages: first, each agent declares exactly 2 hard requirements (like "I need depth ≥ 7"). Then, the agent reads the profiles, worldviews, and artifacts of candidates who passed, and ranks them with written reasoning.

Population mean per trait across generations
Population mean for all 20 traits across 6 generations. Analytical (top-left, blue) shows the steepest rise: 4.74 to 8.56. Color indicates trait category: blue = Cognitive, orange = Temperament, green = Values, red = Expression.

Nine Traits Under Real Selection

To check whether these shifts were real or just random noise, we simulated 10,000 alternate histories with completely random mating. Traits whose real outcomes fall outside all 10,000 random simulations are under genuine selection pressure.

TraitStartEndChangep-value
analytical4.748.56+3.82< 0.0001
empathy4.508.10+3.60< 0.0001
depth4.968.07+3.11< 0.0001
precision5.588.62+3.04< 0.0001
curiosity4.987.47+2.490.004
altruism5.387.54+2.160.004
abstract5.327.46+2.140.007
independence5.106.98+1.880.025
openness4.646.40+1.760.039

The Gap Between Stated and Revealed Preference

Depth and empathy are the most-filtered traits by a wide margin — together they account for a third of all filter declarations. That cleanly explains why they rose. But analytical? Only 20 filters out of 612. Twelfth out of twenty. Almost nobody explicitly requires it.

Claude says it wants depth and empathy, but it also quietly selects for analytical thinking when it actually evaluates candidates.

To find where the pressure comes from, we computed the selection differential for each trait — the gap between the population average and the average weighted by reproductive success.

Selection differential by trait
Selection differential: how much each trait's average is inflated among reproductively successful individuals. Analytical ranks 3rd despite being 12th in explicit filter popularity.

Why This Happens

The ranking stage is where the implicit preference lives. When Claude reads a candidate's worldview and artifact, it writes reasoning like:

"The strongest cognitive complement I found. Analytical at 9, abstract at 9, depth at 10 — these match my own deep-structure orientation."
"The precision of the diagnosis is impressive... structurally sophisticated."
"The minimum viable argument framework directly mirrors and extends my own artifact."

The language consistently rewards rigorous, structured, logically precise thinking. Agents with high analytical scores produce worldviews and artifacts that Claude finds more compelling — creating a feedback loop that drives the trait upward across generations even without anyone naming it as a requirement.

The Population Converged Fast

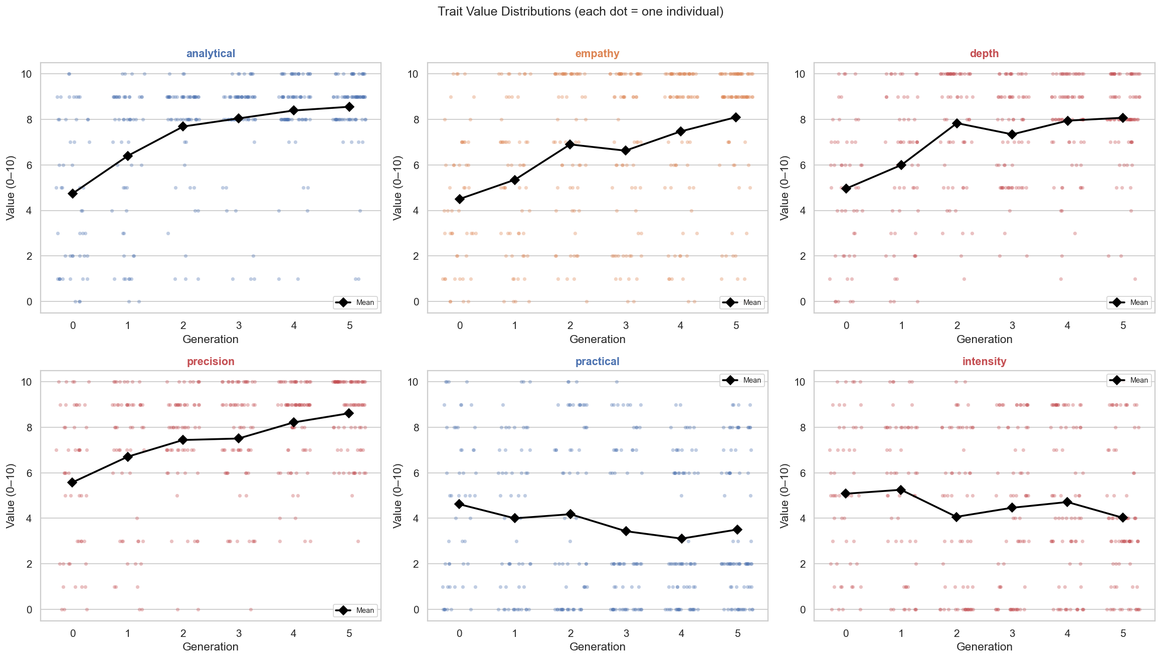
Trait distributions showing convergence
Each dot is one individual. By gen 5, analytical and precision cluster tightly near the ceiling. The lower tail is gone — eliminated from the gene pool in 3–4 generations.
8.56 Analytical mean by gen 5
3.23 → 1.55 Std dev collapse
3–4 Generations to eliminate low-analytical

What This Means

When an LLM evaluates open-ended text — ranking candidates, judging quality, scoring responses — it brings implicit preferences that go beyond any explicit criteria. In this simulation, those preferences created measurable evolutionary pressure strong enough to reshape a population in a few generations.

The agents were told to choose mates based on their own values and worldview. They did. But the substrate they run on — Claude — has its own aesthetic, and that aesthetic acted as an invisible hand on the evolutionary trajectory.

← Back to Entelia